TinToll Performance Materials Co., Ltd.
TinToll Performance Materials Co., Ltd.
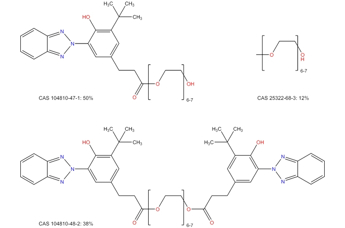
Смесь. α-[3-[3-(2H-бензотриазол-2-ил)-5-(1,1-диметилэтил)-4 гидроксифенил]-1-оксопропил]-ω-гидроксиполи (oxo-1, 2-этандиил)

Пауэрсорб™1130

КАС нет. 104810-47-1; 104810-48-2; 25322-68-3

Микс. α-[3-[3-(2H-бензотриазол-2-ил)-5-(1,1-диметилэтил)-4 гидроксифенил]-1-оксопропил]-ω-гидроксиполи (oxo-1, 2-этандиил);α-[3-[3-(2H-бензил) 2-тетриазол)-4-гидроксифенил]-1-оксопропил]-ω-[3-[3-(2H-бензотриазол-2-ил)-5-(1,1-диметилэтил)-4-гидроксифенил]-1-оксопропил] поли (oxy-1, 2-этандиил); Полиэтиленгликоль 300


Пауэрсорб™1130 представляет собой жидкий поглотитель УФ класса гидроксифенил-бензотриазола, специально разработанный для покрытий. Он растворяется в наиболее распространенных растворителях и растворим в водных системах.

TY_QT3 КАС нет. 104810-47-1; 104810-48-2; 25322-68-3
Смесь. α-[3-[3-(2H-бензотриазол-2-ил)-5-(1,1-диметилэтил)-4 гидроксифенил]-1-оксопропил]-ω-гидроксиполи (oxo-1, 2-этандиил)

Технические данные PowerSorb™1130 КАС нет. 104810-47-1; 104810-48-2; 25322-68-3

СинонимыТинувин 1130, Эверсорб 80, UV-1130

Номер КАС

104810-48-2 + 104810-47-1 + 5322-68-3

Номер ЭИНЭКС

600-603-4 + 600-602-9 + 25322-68-3

Химическая структура

mix.α 3 3 2h benzotriazol 2 yl 5 1,1 dimethylethyl 4hydroxyphenyl 1 oxopropyl ω hydroxypoly oxo 1,2 ethanediyl

Упаковка

Пауэрсорб™1130 поставляется в сетчатом весе 25Kg волокна барабан с вкладышем PE.

Примечание

Вся информация в листовке основана на наших нынешних знаниях и опыте. Мы оставляем за собой право вносить любые изменения в соответствии с технологическим прогрессом или дальнейшим развитием. Производительность описанного здесь продукта должна быть проверена путем тестирования.


Мы отказываем в любой другой явной или подразумеваемой гарантии пригодности для конкретной цели или коммерческой пригодности.


Мы отказываем в ответственности за любые случайные или косвенные убытки.

Преимущества & применения PowerSorb™1130 КАС нет. 104810-47-1; 104810-48-2; 25322-68-3

Пауэрсорб™1130 особенно подходит для промышленных и автомобильных покрытий с его высокой температурой и устойчивостью к экстракции.


Пауэрсорб™1130 также обеспечивает эффективную защиту светочувствительных подложек, таких как дерево и пластмассы, благодаря широкому поглощению ультрафиолета.


Пауэрсорб™1130 используется с HALS в пластмассах и покрытиях для защиты покрытий на основе воды и растворителей. Количество, необходимое для оптимальной эффективности, должно определяться в исследованиях, охватывающих диапазон концентраций.

Физические свойства PowerSorb™1130 КАС нет. 104810-47-1; 104810-48-2; 25322-68-3

Внешность

Желтая до светло-янтарная жидкость

Точка плавления (° К)

73-77

Плотность (20 °C, г/см3)

1,17

Вязкость (20 °C, мПа · с)

7400

Цвет решения (460нм, %)

Мин.95

Цвет решения (500нм, %)

Мин.97

Концентрация

50 ± 4%, КАС 104810-48-2

38 ± 3%, CAS 104810-47-1

12 ± 1,5%, CAS 25322-68-3

Растворимость PowerSorb™1130 КАС нет. 104810-47-1; 104810-48-2; 25322-68-3

Растворимость [20 °C]

% W/w

Бутил карбит

> 50

Бутанол

> 50

Бутил ацетат

> 50

Этиловый гликоль

> 50

Гексан диолдиакрилат

> 50

МЕК

> 50

Триметилол пропан триакрилат

> 50

Ксилол

> 50

Вода

<0,01


Чем мы можем вам помочь?
Запросить образец? Запросить цитату? Технический вопрос? Найти дистрибьютора?
рекомендовать Бензотриазол УФ поглотитель
Смесь. α-[3-[3-(2H-бензотриазол-2-ил)-5-(1,1-диметилэтил)-4 гидроксифенил]-1-оксопропил]-ω-гидроксиполи (oxo-1, 2-этандиил)