TinToll Performance Materials Co., Ltd.
TinToll Performance Materials Co., Ltd.

Вторичные антиоксиданты, такие как фосфитные антиоксиданты и тиоэфиры, разлагают гидропероксиды на нерадикальные, нереактивные и термически стабильные продукты. Поэтому вспомогательные антиоксиданты еще называют гидропероксидными разложителями. Фосфиты и антиоксиданты тиоэфиров являются широко используемыми гидропероксидными разложителями. Фосфиты наиболее эффективны при высоких температурах операций обработки расплава, в то время как тиоэфиры лучше всего работают в твердой фазе при температурах длительного использования. Вторичные антиоксиданты используются вместе с первичными антиоксидантами для повышения стабильности полимеров.


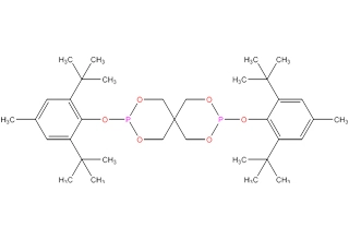
Фосфитные антиоксиданты являются вторичными антиоксидантами, которые разлагают пероксиды и гидропероксиды на стабильные нерадикальные продукты. Антиоксиданты трифенилфосфита являются чрезвычайно эффективными стабилизаторами во время обработки и часто используются в сочетании с первичным антиоксидантом для обеспечения хорошей термостойкости, стабильности цвета, стабильности процесса и атмосферостойкости полимеров.


На протяжении более 30 лет,Тинтол, Один из ведущих производителей фосфатных антиоксидантов в Китае, стремится предоставлять инновационные высокоэффективные светостабилизаторы и антиоксидантные решения для удовлетворения растущих и меняющихся технических потребностей мирового рынка пластмасс.


ТИНТОЛЛ трис 2 4 ди трет бутилфенил фосфиты играют важную роль в ингибировании и задержке окисления и деградации полимерных материалов. TINTOLL доступен в различных физических формах, а также в стандартных и нестандартных смесях. Выбор антиоксиданта зависит от таких факторов, как совместимость, цвет и термическая стабильность, летучесть и эффективность стабилизатора.


Типы фосфита антиоксидант

Типы фосфита антиоксидант

Что такое вторичные антиоксиданты?

Что такое вторичные антиоксиданты?

Вторичные антиоксиданты задерживают окисление, предотвращая пролиферацию алкокси и гидроксильных радикалов путем разложения гидропероксидов для получения нереактивных продуктов. Эти полимерыАнтиоксидантные добавки для пластмассОбычно используются в синергетической комбинации с первичными антиоксидантами.

  • Органофосфаты

Действуя как вторичные антиоксиданты, включаяТрифенил фосфит антиоксидант, Органофосфаты уменьшают гидропероксиды до спиртов, превращая себя в фосфонаты. Они также обеспечивают стабильность цвета, ингибируя обесцвечивание, вызванное образованием продуктов реакции хиноидов, которые образуются при окислении фенольных соединений. Трис-нонилфенилфосфит (TNPP) является наиболее часто используемым органофосфатом, за которым следует трис (2,4-ди-трет-бутилфенил) фосфит.

  • Тиоэфиры

Полученные из алифатических эфиров B-тио дипропионовой кислоты, тиоэфиры действуют как вторичные антиоксиданты, а также обеспечивают высокую термостойкость различных полимеров. Тиоэфиры действуют как вторичные антиоксиданты, разрушая гидропероксиды с образованием стабильных шестивалентных производных серы.

Тиоэстеры действуют как синергисты при сочетании сФенольные антиоксидантыВ полиолефинах.

  • Деактиваторы

Деактиватор металлаСочетается с ионами металлов, чтобы ограничить потенциал распространения цепи. Деактиваторы металла обыкновенно использованы в покрытиях полиолефинов внутренних в применениях провода и кабеля где пластмасса приходит в контакт с металлом.


Запросить образец? Запросить цитату? Технический вопрос? Найти дистрибьютора?