TinToll Performance Materials Co., Ltd.
TinToll Performance Materials Co., Ltd.

Окисление полимеров может привести ко многим нежелательным эффектам, включая изменение цвета, образование морфологии шероховатой поверхности, изменения вязкости расплава и снижение механических свойств, что может повлиять на срок службы полимера или конечного продукта. Окисление может происходить на каждой стадии жизненного цикла полимера, при производстве и хранении полимерных смол, при высокотемпературной обработке расплава, при переработке смол в изделия и при использовании изделий. Кроме того, воздействие ультрафиолетовых лучей от солнечного света также ускоряет процесс окисления. Добавление фенольных антиоксидантов для полимеров может ингибировать и задерживать окисление и деградацию полимерных материалов.


Антиоксиданты обычно делятся на первичные антиоксиданты и вторичные антиоксиданты. Первичные антиоксиданты работают путем очистки свободных радикалов перокси, образующихся во время окисления. Двумя основными классами первичных антиоксидантов являются фенольные антиоксиданты и ароматические амины. Они эффективны в широком диапазоне температур, улучшая обработку материалов и долгосрочную термическую стабильность.


Вторичные антиоксиданты, такие как фосфиты и тиоэфиры, работают через разложение гидропероксидов. Фосфиты наиболее эффективны при высоких температурах операций обработки расплава, в то время как тиоэфиры лучше всего работают в твердой фазе при температурах длительного использования.

ТинтолПрепятствованные фенольные противостарители имеют низкую летучесть, высокую эффективность, сопротивление к увядать воздуха и гидролизу, и могут быть осуществлены в широком диапазоне применений.


Типы мешал фенол антиоксидант HPAO

Типы мешал фенол антиоксидант HPAO

Помешал фенол антиоксидант HPAO Подробнее

Помешал фенол антиоксидант HPAO Подробнее

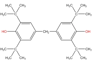
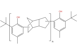
Помехи стабилизаторы фенола являются основнымиАнтиоксидантные добавки для пластмассИ выступать в качестве доноров водорода. Они реагируют с пероксидными радикалами с образованием гидропероксидов и предотвращают абстрагирование водорода из полимерной основы. Фенольные стабилизаторы часто используются в сочетании с вторичными антиоксидантами и имеют различные молекулярные массы, формы продукта и функции. Они очень эффективны во время обработки и длительного теплового старения, и многие из них одобрены FDA. ЭтиПолимерные стабилизаторыКак правило, менее склонны к окрашиванию или обесцвечиванию. Однако при окислении они могут образовывать хиноидные структуры, что приводит к пожелтению. PowerNoxTM фенольные антиоксиданты включают простые фенолы, бисфенолы, полифенолы и тиобисфенолы.


ПоверноксТМ2640 (BHT) является наиболее часто используемым первичным антиоксидантом и одобрен FDA для контакта с пищевыми продуктами и подходит в качестве долгосрочного стабилизатора почти во всех случаях. Тем не менее, BHT является относительно летучим материалом, который постепенно заменяется антиоксидантами с более высокой молекулярной массой, которые сопротивляются миграции.


Тиобисфенолы также действуют как пероксидные разложители (вторичные антиоксиданты), которые часто используются в высокотемпературных применениях.

Запросить образец? Запросить цитату? Технический вопрос? Найти дистрибьютора?